渋谷駅前で働くデータサイエンティストのブログ

元祖「六本木で働くデータサイエンティスト」です / 道玄坂→銀座→東京→六本木→渋谷駅前

2017-02-01から1ヶ月間の記事一覧

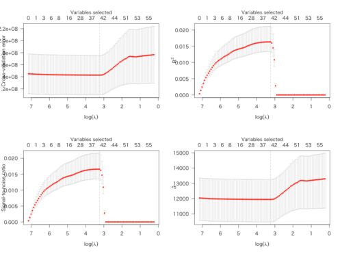
メモリに乗り切らない大容量データ相手にL1正則化回帰を回せる{biglasso}パッケージを試してみた

今回は小ネタ。ボサーっとCRAN Task View: Machine Learningを眺めていたらこんなものを見つけました。これ、カラクリは簡単で単にR側にはデータのポインタしか渡さず、データの実体はストレージからオンライン(ストリーミング)で読み込むようにしていると…

単変量時系列分析の続き:ARIMA vs. ETS vs. Robust ETS

この記事は4年前の以下の過去記事の続きです。大変遅まきながら*1、最近になって単変量時系列モデリングの手法としてARIMA / DLM以外にも幾つか方法があるのだということを知りました。一つは指数平滑法というかExponential Smoothing State Space Model (ET…

Rで異常検知(2): 正規分布に従うデータからの異常検知(ホテリング理論・MT法)

さて、気紛れから始まったこのシリーズですが。今回は第2章を取り上げます。入門 機械学習による異常検知―Rによる実践ガイド作者: 井手剛出版社/メーカー: コロナ社発売日: 2015/02/19メディア: 単行本この商品を含むブログ (4件) を見る多変量かつ非正規デ…