正直に白状するとめぼしいお題がなくて記事にするようなものは目下のところ何もないんですが(汗)、最近めっきり多変量データいじらなくなって腕が鈍っている気がしないでもないので、Rの機械学習系のコマンドを打つリハビリ()も兼ねて以前のシリーズの続きをちょっとやってみようと思います。
ということで、お題はUCI Machine Learning Repositoryの"Online News Popularity"です。
データについてはこんな説明書きがついています。
Data Set Information:
- The articles were published by Mashable (www.mashable.com) and their content as the rights to reproduce it belongs to them. Hence, this dataset does not share the original content but some statistics associated with it. The original content be publicly accessed and retrieved using the provided urls.
- Acquisition date: January 8, 2015
- The estimated relative performance values were estimated by the authors using a Random Forest classifier and a rolling windows as assessment method. See their article for more details on how the relative performance values were set.
多分追加されたのは割と最近で、ちょっと前に僕が見た時はまだなかったデータセットかなぁと。そんなわけで、ざっくりこれで遊んでみます。
そうそう、僕はプロのKagglerではないし況んやKaggle Masterとかでも何でもないので、この手のセルフコンペみたいなものをやったところで完全にただの素人芸です(汗)。Kaggle猛者諸氏からのツッコミを心よりお待ちしております。。。
データセットの中身を確認する
ご丁寧にも、各変数については以下の説明がついています。最後の"shares"が目的変数で、58個の説明変数、2個のID系の変数*1から成る、全体で39644行のデータセットです。
Number of Attributes: 61 (58 predictive attributes, 2 non-predictive, 1 goal field)
Attribute Information:
0. url: URL of the article (non-predictive)
1. timedelta: Days between the article publication and the dataset acquisition (non-predictive)
2. n_tokens_title: Number of words in the title
3. n_tokens_content: Number of words in the content
4. n_unique_tokens: Rate of unique words in the content
5. n_non_stop_words: Rate of non-stop words in the content
6. n_non_stop_unique_tokens: Rate of unique non-stop words in the content
7. num_hrefs: Number of links
8. num_self_hrefs: Number of links to other articles published by Mashable
9. num_imgs: Number of images
10. num_videos: Number of videos
11. average_token_length: Average length of the words in the content
12. num_keywords: Number of keywords in the metadata
13. data_channel_is_lifestyle: Is data channel 'Lifestyle'?
14. data_channel_is_entertainment: Is data channel 'Entertainment'?
15. data_channel_is_bus: Is data channel 'Business'?
16. data_channel_is_socmed: Is data channel 'Social Media'?
17. data_channel_is_tech: Is data channel 'Tech'?
18. data_channel_is_world: Is data channel 'World'?
19. kw_min_min: Worst keyword (min. shares)
20. kw_max_min: Worst keyword (max. shares)
21. kw_avg_min: Worst keyword (avg. shares)
22. kw_min_max: Best keyword (min. shares)
23. kw_max_max: Best keyword (max. shares)
24. kw_avg_max: Best keyword (avg. shares)
25. kw_min_avg: Avg. keyword (min. shares)
26. kw_max_avg: Avg. keyword (max. shares)
27. kw_avg_avg: Avg. keyword (avg. shares)
28. self_reference_min_shares: Min. shares of referenced articles in Mashable
29. self_reference_max_shares: Max. shares of referenced articles in Mashable
30. self_reference_avg_sharess: Avg. shares of referenced articles in Mashable
31. weekday_is_monday: Was the article published on a Monday?
32. weekday_is_tuesday: Was the article published on a Tuesday?
33. weekday_is_wednesday: Was the article published on a Wednesday?
34. weekday_is_thursday: Was the article published on a Thursday?
35. weekday_is_friday: Was the article published on a Friday?
36. weekday_is_saturday: Was the article published on a Saturday?
37. weekday_is_sunday: Was the article published on a Sunday?
38. is_weekend: Was the article published on the weekend?
39. LDA_00: Closeness to LDA topic 0
40. LDA_01: Closeness to LDA topic 1
41. LDA_02: Closeness to LDA topic 2
42. LDA_03: Closeness to LDA topic 3
43. LDA_04: Closeness to LDA topic 4
44. global_subjectivity: Text subjectivity
45. global_sentiment_polarity: Text sentiment polarity
46. global_rate_positive_words: Rate of positive words in the content
47. global_rate_negative_words: Rate of negative words in the content
48. rate_positive_words: Rate of positive words among non-neutral tokens
49. rate_negative_words: Rate of negative words among non-neutral tokens
50. avg_positive_polarity: Avg. polarity of positive words
51. min_positive_polarity: Min. polarity of positive words
52. max_positive_polarity: Max. polarity of positive words
53. avg_negative_polarity: Avg. polarity of negative words
54. min_negative_polarity: Min. polarity of negative words
55. max_negative_polarity: Max. polarity of negative words
56. title_subjectivity: Title subjectivity
57. title_sentiment_polarity: Title polarity
58. abs_title_subjectivity: Absolute subjectivity level
59. abs_title_sentiment_polarity: Absolute polarity level
60. shares: Number of shares (target)
UCIのこのデータセットのページには、元となった論文がreferenceとして示されています。しかも、おそらく著者らの厚意で全文が公開されているようです。
これによると、
データセットを読み込んでholdoutを切る
論文中では結構凝ったCVをやっているんですが*2、面倒なので普通にランダムに1000行だけ選び出してテストデータにします。
> d<-read.csv('OnlineNewsPopularity.csv') # 元データを読み込む > d<-d[,-c(1:2)] # 全く予測と関係ない先頭2列を切る > idx<-sample(nrow(d),1000,replace = F) # 適当に1000個選ぶ > train<-d[-idx,] # その1000個以外が学習データ > test<-d[idx,] # その1000個がテストデータ
とりあえずこれで超いい加減ですがある程度CVできることになりました。
論文の定義に従って二値クラスに分ける
論文をよーーーーーく読むと「shares >= 1400か否かで二値に分けている」と書いてあります。ということでこの閾値に従って二値に分けておきます。
> idxtest<-which(test$shares>=1400) # テストデータの閾値以上の行のインデックスを取得する > idxtrain<-which(train$shares>=1400) # 学習データの閾値以上の行のインデックスを取得する # そこでインデックスが得られた行のshares変数には1を割り振る > test$shares[idxtest]<-1 > train$shares[idxtrain]<-1 # それ以外には0を割り振る > test$shares[-idxtest]<-0 > train$shares[-idxtrain]<-0 # classificationするのでfactor型に直す > test$shares<-as.factor(test$shares) > train$shares<-as.factor(train$shares) > summary(train$shares) 0 1 18013 20631 > summary(test$shares) 0 1 477 523 # それほど不均衡データにはなっていない
ついでに確認した結果からは、極端な不均衡データではないことが分かります。ということで、普通に分類器に突っ込めば良さそうですね。
とりあえず何も考えずにランダムフォレストで分類してみる
一応、論文中ではランダムフォレストがベストパフォーマンスを叩き出したらしいので、普通にランダムフォレストでやってみます。
> library(randomForest) # tuneRFでチューニングしようと思ったが重たいので諦めた > train.rf<-randomForest(shares~.,train) > table(test$shares,predict(train.rf,newdata=test[,-59])) 0 1 0 284 193 1 141 382 > sum(diag(table(test$shares,predict(train.rf,newdata=test[,-59]))))/nrow(test) [1] 0.665
大体論文のパフォーマンスと同じくらいになりました。ついでに変数重要度をチェックしてみるとこうなります。
> importance(train.rf) MeanDecreaseGini n_tokens_title 301.60380 n_tokens_content 452.82860 n_unique_tokens 496.56542 n_non_stop_words 452.90013 n_non_stop_unique_tokens 501.61029 num_hrefs 398.84016 num_self_hrefs 240.06761 num_imgs 267.22725 num_videos 151.82728 average_token_length 499.90676 num_keywords 194.55186 data_channel_is_lifestyle 31.31140 data_channel_is_entertainment 172.38185 data_channel_is_bus 41.84259 data_channel_is_socmed 103.61536 data_channel_is_tech 100.78584 data_channel_is_world 120.32010 kw_min_min 110.51764 kw_max_min 482.66542 kw_avg_min 547.94047 kw_min_max 315.87118 kw_max_max 142.85489 kw_avg_max 552.27383 kw_min_avg 421.79427 kw_max_avg 753.21509 kw_avg_avg 842.36403 self_reference_min_shares 572.85719 self_reference_max_shares 446.36563 self_reference_avg_sharess 551.66169 weekday_is_monday 55.22746 weekday_is_tuesday 61.33571 weekday_is_wednesday 61.71977 weekday_is_thursday 57.80722 weekday_is_friday 55.17558 weekday_is_saturday 83.72945 weekday_is_sunday 52.87669 is_weekend 197.54906 LDA_00 549.62799 LDA_01 564.14574 LDA_02 620.76406 LDA_03 512.33607 LDA_04 570.96284 global_subjectivity 511.57444 global_sentiment_polarity 464.66297 global_rate_positive_words 485.41044 global_rate_negative_words 434.12129 rate_positive_words 383.37487 rate_negative_words 387.98007 avg_positive_polarity 472.52093 min_positive_polarity 232.29358 max_positive_polarity 194.28895 avg_negative_polarity 443.71454 min_negative_polarity 268.40594 max_negative_polarity 258.10739 title_subjectivity 244.11502 title_sentiment_polarity 280.16476 abs_title_subjectivity 225.20669 abs_title_sentiment_polarity 223.03469
思ったほど突出して効いている説明変数がなくて、どれもどんぐりの背比べ感が否めない印象です。
L1正則化で説明変数を絞ってみる
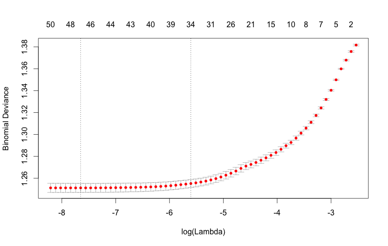
とは言え、とりあえずザッと説明変数のリストを見た感じ要らないっぽいものがチラホラ目に付くので削ってみたいなぁという気がどうしてもしてくるので、削ってみます。削るならやっぱりL1正則化でしょう!ということで、{glmnet}を使って削っていきます。
> library(glmnet) > train.glmnet<-cv.glmnet(as.matrix(train[,-59]),as.integer(train$shares)-1,family='binomial',alpha=1) > plot(train.glmnet) > coef(train.glmnet,s=train.glmnet$lambda.min) 59 x 1 sparse Matrix of class "dgCMatrix" 1 (Intercept) -1.924417e+00 n_tokens_title . n_tokens_content 1.972370e-04 n_unique_tokens . n_non_stop_words 2.941005e-03 n_non_stop_unique_tokens . num_hrefs 9.037775e-03 num_self_hrefs -1.790393e-02 num_imgs 3.499607e-03 num_videos . average_token_length -7.447395e-02 num_keywords 4.426964e-02 data_channel_is_lifestyle -8.967123e-02 data_channel_is_entertainment -2.953811e-01 data_channel_is_bus -1.687054e-01 data_channel_is_socmed 8.671045e-01 data_channel_is_tech 5.293815e-01 data_channel_is_world 1.017137e-02 kw_min_min 1.909228e-03 kw_max_min . kw_avg_min -2.538994e-05 kw_min_max -6.403865e-07 kw_max_max -2.614637e-07 kw_avg_max -4.457514e-07 kw_min_avg -7.074622e-05 kw_max_avg -8.082924e-05 kw_avg_avg 6.601764e-04 self_reference_min_shares 3.944261e-06 self_reference_max_shares 3.354461e-07 self_reference_avg_sharess 2.723112e-06 weekday_is_monday 6.251897e-02 weekday_is_tuesday -5.320896e-02 weekday_is_wednesday -5.494586e-02 weekday_is_thursday . weekday_is_friday 1.890105e-01 weekday_is_saturday 2.282464e-01 weekday_is_sunday . is_weekend 7.988921e-01 LDA_00 9.498490e-01 LDA_01 -5.867889e-02 LDA_02 -2.031662e-01 LDA_03 . LDA_04 4.349305e-01 global_subjectivity 9.854330e-01 global_sentiment_polarity . global_rate_positive_words -2.903276e+00 global_rate_negative_words 2.638985e+00 rate_positive_words 7.316597e-03 rate_negative_words -3.964221e-01 avg_positive_polarity -2.302301e-01 min_positive_polarity -6.519552e-01 max_positive_polarity . avg_negative_polarity . min_negative_polarity 1.215278e-02 max_negative_polarity 2.914200e-02 title_subjectivity 9.290800e-02 title_sentiment_polarity 1.924013e-01 abs_title_subjectivity 2.400618e-01 abs_title_sentiment_polarity 1.569691e-02 > tmp<-coef(train.glmnet,s=train.glmnet$lambda.min) > train.l1<-train[,c(tmp@i,59)] > test.l1<-test[,c(tmp@i,59)]

これで11個ほど説明変数を削れたので、ランダムフォレストでやり直してみます。
> train.l1.rf<-randomForest(shares~.,train.l1) > table(test.l1$shares,predict(train.l1.rf,newdata=test.l1[,-48])) 0 1 0 283 194 1 149 374 > sum(diag(table(test.l1$shares,predict(train.l1.rf,newdata=test.l1[,-48]))))/nrow(test.l1) [1] 0.657
悪化しましたorz ちなみに上の方でL1正則化したロジスティック回帰モデルをそのままテストデータへの予測に使うとこうなります。
> table(test$shares,round(predict(train.glmnet,newx=as.matrix(test[,-59]),s=train.glmnet$lambda.min,type='response'),0)) 0 1 0 291 186 1 164 359 > sum(diag(table(test$shares,round(predict(train.glmnet,newx=as.matrix(test[,-59]),s=train.glmnet$lambda.min,type='response'),0))))/nrow(test) [1] 0.65
うーむ。。。L1正則化ロジスティック回帰ではこれぐらいが限界のようです。
xgboostでやってみる
だったら、Kaggleで大人気のxgboostを使ってみるのも一手かなと。ちなみに手法について解説した過去記事はこちら。
ということでスクリプトは以下の通り。
> library(xgboost) > library(Matrix) > train.mx<-sparse.model.matrix(shares~.,train) > test.mx<-sparse.model.matrix(shares~.,test) > dtrain<-xgb.DMatrix(train.mx,label=as.integer(train$shares)-1) > dtest<-xgb.DMatrix(test.mx,label=as.integer(test$shares)-1) > set.seed(71) # 何度かここで試行錯誤している > train.gbdt<-xgb.train(params=list(objective='binary:logistic',eta=0.4),data=dtrain,nrounds=9,watchlist=list(train=dtrain,test=dtest)) > sum(diag(table(test$shares,round(predict(train.gbdt,newdata=dtest),0))))/nrow(test) [1] 0.668 # ベストパフォーマンス > train.l1.mx<-sparse.model.matrix(shares~.,train.l1) > test.l1.mx<-sparse.model.matrix(shares~.,test.l1) > dtrain.l1<-xgb.DMatrix(train.l1.mx,label=as.integer(train.l1$shares)-1) > dtest.l1<-xgb.DMatrix(test.l1.mx,label=as.integer(test.l1$shares)-1) > train.l1.gbdt<-xgb.train(params=list(objective='binary:logistic',eta=0.3),data=dtrain.l1,nrounds=15,watchlist=list(train=dtrain.l1,test=dtest.l1)) > sum(diag(table(test.l1$shares,round(predict(train.l1.gbdt,newdata=dtest.l1),0))))/nrow(test) [1] 0.667
ということで、全ての説明変数を入れてxgboostで分類した時に論文とほぼ同じaccuracy = 0.668というパフォーマンスに達しました。論文中では他にもAdaBoostとかSVMとかkNNとかナイーブベイズとか挙げられてますが、ここでは割愛します。
他の考え方
そもそもsharesは連続値なので、回帰すればええやんと最初思ったのでした。普通に線形回帰するとめちゃくちゃな結果になるのですが、生のデータを見てみると
> summary(d$shares) Min. 1st Qu. Median Mean 3rd Qu. Max. 1 946 1400 3395 2800 843300 > par(mfrow=c(1,2)) > hist(d$shares) > hist(log(d$shares))

ということで対数変換すればsharesの分布が正規分布に近くなり、それなりのスコアになるであろうことが予想されます。また、実際適当に回帰してみて単純に相関係数を計算するとr = 0.4ぐらいになります。なのですが、これを評価するにはRMSEとかになってなかなか論文の見た目としては評価しづらくなるので、それで1400とかいう閾値を切って二値分類にしたのかなぁ、と。。。ちなみに回帰して予測した結果を閾値1400で切って二値に直してconfusion matrixを書くと、accuracy = 0.665ぐらいになってました。
そんなわけで、論文のスコアを上回ることはできませんでしたorz 簡単そうに見えたんですが、意外と難しいんですねぇ。。。ということでお後がよろしいようで。